Skip to main content
Skip to main navigation menu
Skip to site footer
Open Menu
Acta Chimica Slovenica
About
About the Journal
Editorial Team
Contact
Submissions
Issues
Next issue articles (ASAP)
Current
Archives (2013 - )
Archives (All)
Announcements
Search
Register
Login
Home
/
Archives
/
ASAP
ASAP
Published:
01.01.1970
Feature article
Acetylacetone: Is the β-Diketone Tautomer Less Stable Than the Enol or Is the Enol Tautomer More Stable Than the Diketone?
Maja Ponikvar-Svet, Kathleen F. Edwards, Joel F. Liebman
pdf
Analytical chemistry
Harnessing Synergy: Investigation of the Antioxidant Interactions between trans-Resveratrol and L-Ascorbic Acid by Spectroscopic and DFT methods
Elena Gorincioi, Crina Vicol, Natalia Bolocan, Claudia Cimpoiu, Alic Barba, Simona Nica, Gheorghe Duca
654-665
pdf
Biomedical applications
New Insights into CAZ-AVI’s Pharmacological Mechanisms: Network Pharmacology and Molecular Docking Reveal Molecular Targets in Pneumonia Treatment
Kun Zhang, Yu-Qian Cheng, Cun-Jin Wu
866-876
pdf
Appendix 1
Appendix 2
Appendix 3
Chemical Stability and Dissolution of Paracetamol Tablets Formulated by Direct Compression and Granulation Process
Nemanja Todorović, Darija Sazdanić, Bojana Mamužić, Mladena Lalić-Popović, Milica Atanacković Krstonošić, Mira Mikulić
721-729
pdf
Immunomodulatory Role of Palladium(II) Complex with Ethyl Derivative of Thiosalicylic Acid Ligand
Mirjana Jakovljević, Jovana Marinković, Dusan Tomović, Gordana Radić, Irfan Ćorović, Slađana Pavlović, Bojana Simović Marković, Ivan Jovanović, Andriana Bukonjić
666-671
pdf
Biochemistry and molecular biology
Interpreting the Conformational Dynamics Over Interaction of FAM222A Protein with Amyloid-Beta Peptides
Nail Besli, Nilufer Ercin, Miguel Carmena-Bargueño, Horacio Pérez-Sánchez, Ulkan Celik
831-845
pdf
Appendix 1
Appendix 2
Synthesis of Novel Indole Derivatives, Antiproliferative Activity, Apoptosis, and Molecular Docking Studies
Mahsa Toolabi, Zahra Sabzevari, Zakaria Forouzanfar, Ayyub Mojaddami
730-739
pdf
Appendix 1
Quercetin-3 Sulfate: A Novel Inhibitor Targeting Helicobacter Pylori Revealed through Molecular Docking and Dynamic Simulations
Mohammed Baqur Al-Shuhaib, Hayder O. Hashim, Mudher K. Mohammed , Jafar M. B. Al-Shuhaib
707-720
pdf
Camellia Yokdonensis Leaves: Antioxidant, Potential Antidiabetic and In Vitro Anti-inflammatory Activities
Trang Thi Nguyen, Pham M. Tuan, Danh C. Vu
672-678
pdf
Appendix 1
Chemical, biochemical and environmental engineering
Camel Bones as a Source of Fat: Optimization of Extraction Methods and Fatty Acid Composition Analysis
Mohamed Mokadem, Habib Farhat, Khadra Mokadem
748-760
pdf
Chemical Education
Fostering Chemical Literacy through a Non-Formal Forensic Chemistry Module for 13-Year-Old Students
Alenka Dražić, Iztok Devetak
810-822
pdf
Inorganic chemistry
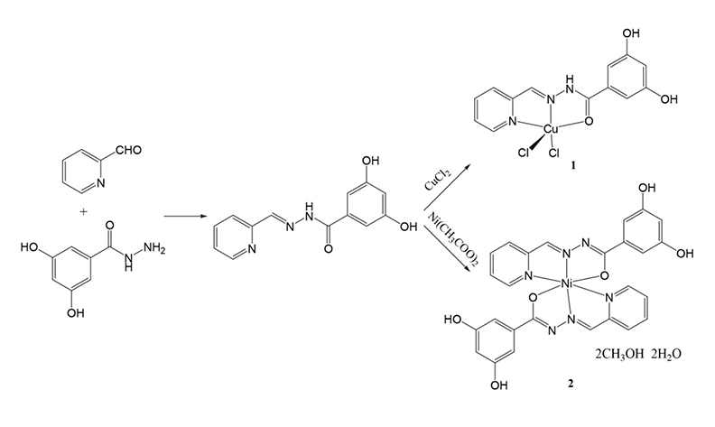
Synthesis, X-Ray Crystal Structures and Urease Inhibitory Activity of 3,5-Dihydroxy-N’-(pyridin-2-ylmethylene)benzohydrazide and its Copper(II) and Nickel(II) Complexes
Zhonglu You, Ziyi Qiao, Yaoyao Cao, Dahua Shi, Niansui Song, Xinhui Feng
721-728
pdf
Synthesis, X-ray Crystal Structures and Antibacterial Activity of Copper(II) Complexes Derived from Halo Substituted Hydrazones
Zhonglu You, Niansui Song, Ziyi Qiao, Shiyu Zhang, Wanlin Wei, Helin Wang, Yuqing Gu
823-830
pdf
Fluoridobromate(V)–Hydrogen Fluoride Cocrystallizates
Martin Möbs, Antti J. Karttunen, Florian Kraus
1-9
pdf
Appendix 1
Organic chemistry
Cyclopentyl-linked N-Acylthioureas as Promising Urease Inhibitors: Insights from in vitro Bioassay, Structure-activity Relationships and Computational Analysis
Khansa Mumtaz, Sumera Zaib, Aamer Saeed, Atteeque Ahmed, Afifa Tur Rehman, Aneeza Asghar, Imtiaz Khan
798-809
pdf
Appendix 1
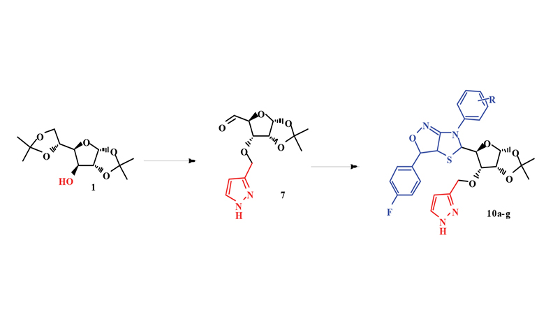
Synthesis of Novel Hybrid Heterocycles as Potential Nematicidal Agents
Srinivas Avula, Kalyan Rao Enugala
765-773
pdf
Appendix 1
Synthesis and Biological Activity of Some Novel Quinolinones Derived from 1-Ethyl-1,2-dihydro-4-hydroxy-2-oxoquinoline-3-carbaldehyde
Fatma Youssef, Mostafa Ismail, Mohammed Abass , Heba Hassan
692-706
pdf
Appendix 1
Antityrosinase and Antimelanogenic Effects of Structurally Modified Kojic Acid Derivatives with Piperidine Side Chains
Gülşah Karakaya, Tugba Adak, Sami Hamdoun, Aslı Türe, Ayşe Ercan, Mutlu Aytemir
679-691
pdf
Appendix 1
Novel Mannich Bases Based on Schiff Bases: Synthesis, Biological Activities, Computational Approach, and Anticancer Analysis with Molecular Docking
Gül Kotan, Kenan Gören, Sevda Manap, Mehmet Bağlan, Haydar Yüksek
637-653
pdf
Appendix 1
Microwave-Assisted Extraction of Capsaicin and Dihydrocapsaicin from Green Chili with Process Optimization as per Response Surface Methodology
Nimra Maqsood, Dildar Ahmed
623-636
pdf
Physical chemistry
4-Bromobenzene Sulfonate Derivatives: Synthesis, Characterization, DFT and Molecular Docking Study
Meryem Evecen, Fatih Celik, Yasemin Unver, Halil İbrahim Güler
781-797
pdf
Appendix 1
Kinetic Parameters of Mineral Dissolution and Gibbs Free Energy
Alma Ryskaliyeva, Murat Baltabayev, Yerassyl Mukhamediyar, Aigul Zhubatova, Nurzhamal Khokhanbayeva
774-780
pdf
Appendix 1