Assessment of Interaction of Human OCT 1-3 Proteins and Metformin using Silico Analyses

Authors

DOI:

https://doi.org/10.17344/acsi.2020.6108

Keywords:

Organic cation transporters, Metformin, Protein structure prediction, Model Validation, Docking

Abstract

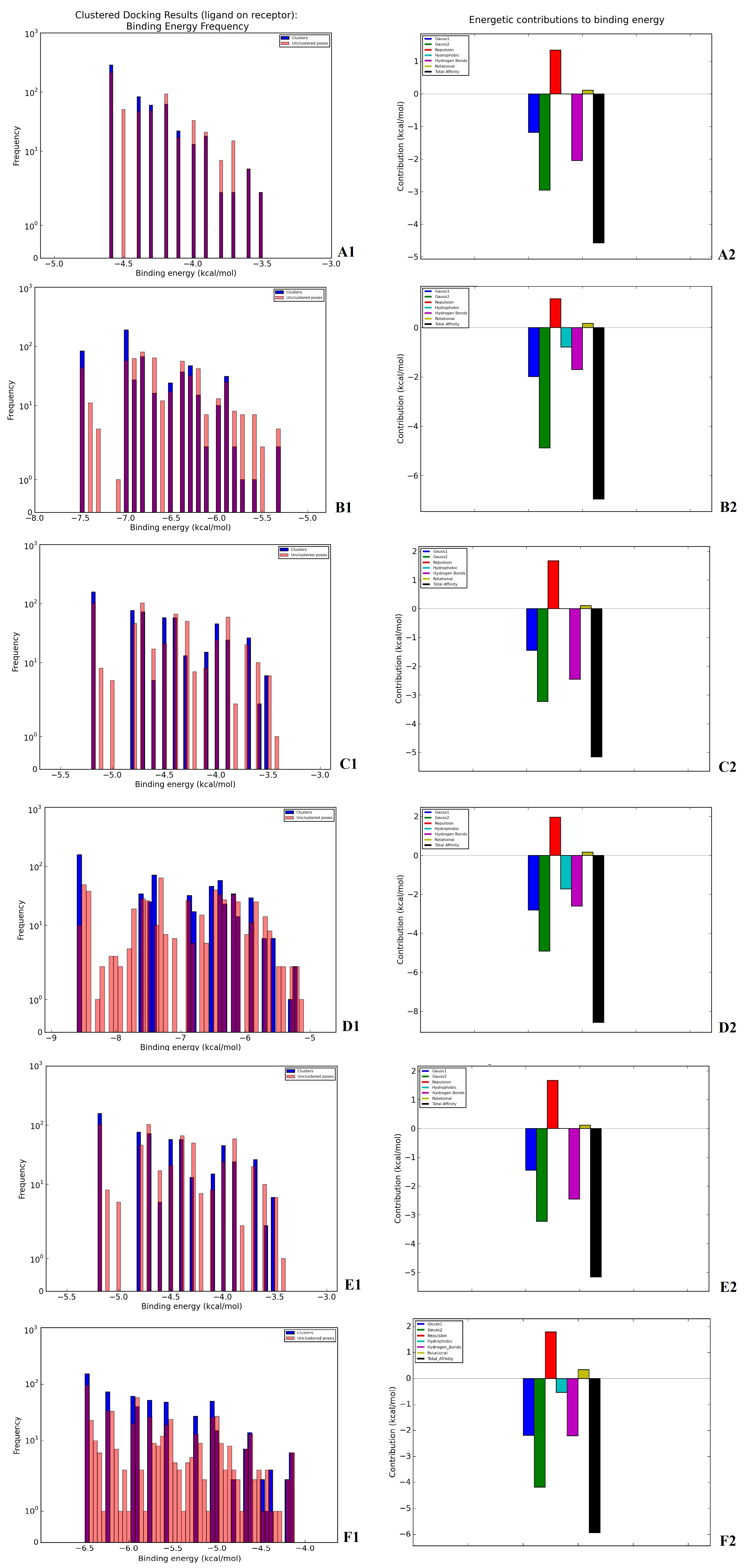
Metformin, a drug frequently used by diabetic patients as the first-line treatment worldwide, is positively charged and is transported into the cell through human organic cation transporter (hOCT 1-3) proteins. We aimed to mimic the cellular uptake of metformin by hOCT1-3 with various bioinformatics methods and tools. 3D structure of OCT1-3 proteins was predicted by considering the structures and function of these proteins. We predicted functional regions (active and ligand binding sites) of OCT1-3 and performed comparative bioinformatics analysis. The predicted structure of hOCT1-3 was then analyzed in the Blind Docking server and the results were confirmed with predicted binding site residues and conserved domain regions. We simulated the OCT1-3 and metformin docking and also validated the docking procedure with other substrates of HOCT1-3 proteins. We selected the best poses of metformin docking simulations as per binding energy (-5.27 to -4.60 kcal/mol). Lastly, we validated the static description of protein-ligand (OCT-Metformin) interactions by performing molecular dynamics simulation. Eventually, we obtained stable stimulation of OCT-metformin interaction.

Author Biographies

Faruk Berat Akçeşme, University of Health Sciences

Department of Biostatistics and Medical Informatics

Nail Beşli, University of Health and Sciences

Department of Medical Biology

Published

15.12.2020

Issue

Section

Biochemistry and molecular biology