iFIT: An automated web tool for determining enzyme-kinetic parameters based on the high-curvature region of progress curves

Authors

  • Boštjan Petrič University of Ljubljana, Faculty of Medicine, Institute of Biochemistry and Molecular Genetics, Vrazov trg2, Ljubljana
  • Marko Goličnik University of Ljubljana, Faculty of Medicine, Institute of Biochemistry and Molecular Genetics, Vrazov trg2, Ljubljana
  • Aljoša Bavec University of Ljubljana, Faculty of Medicine, Institute of Biochemistry and Molecular Genetics, Vrazov trg2, Ljubljana http://orcid.org/0000-0001-7922-9745

DOI:

https://doi.org/10.17344/acsi.2022.7359

Keywords:

progress curves, integrated Michaelis-Menten equation, Lambert W

Abstract

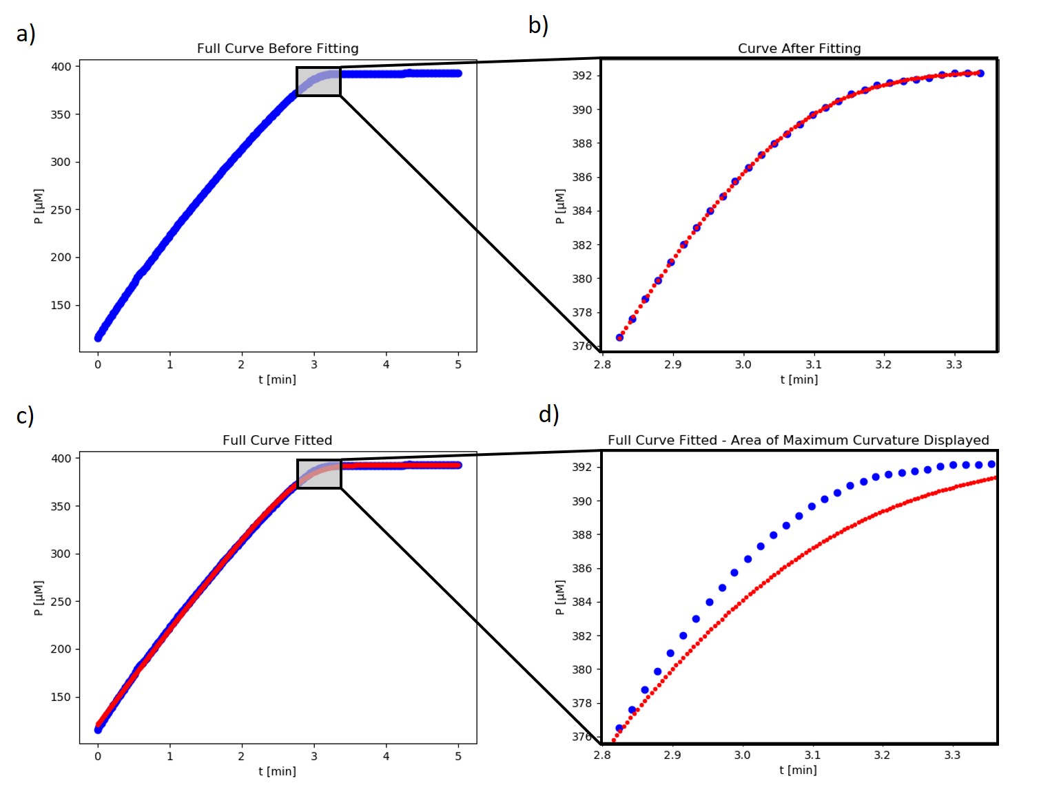
The area where progress curve exhibits maximum curvature contains the most information about kinetic parameters. To determine these parameters more accurately from progress curves, we propose an iterative approach that calculates the area of maximum curvature based on an estimate of kinetic parameters and then recalculates the parameters based on time-concentration data points within this area. Based on this algorithm, we developed a computer script called iFIT as a free web application at http://www.i-fit.si. The benefits of working with iFIT are that it decreases the importance of initial substrate concentration and the impact of certain side reactions on the final calculated kinetic parameters.

Published

14.06.2022

Issue

Section

Biochemistry and molecular biology