A Simple and Convenient Method for the Synthesis of 1-Methyl-7-arylfuro[3,2-g]pteridine-2,4(1H,3H)-diones and Their Substituted Derivatives

Authors

DOI:

https://doi.org/10.17344/acsi.2019.5601

Keywords:

1-methyl-6-(2-oxo-2-arylethyl)pteridine-2, 4, 7(1H, 3H, 8H)-triones, dehydration, 1-methyl-7-arylfuro[3, 2-g]pteridine-2, 4(1H, 3H)diones, alkylation, X-ray diffraction analysis

Abstract

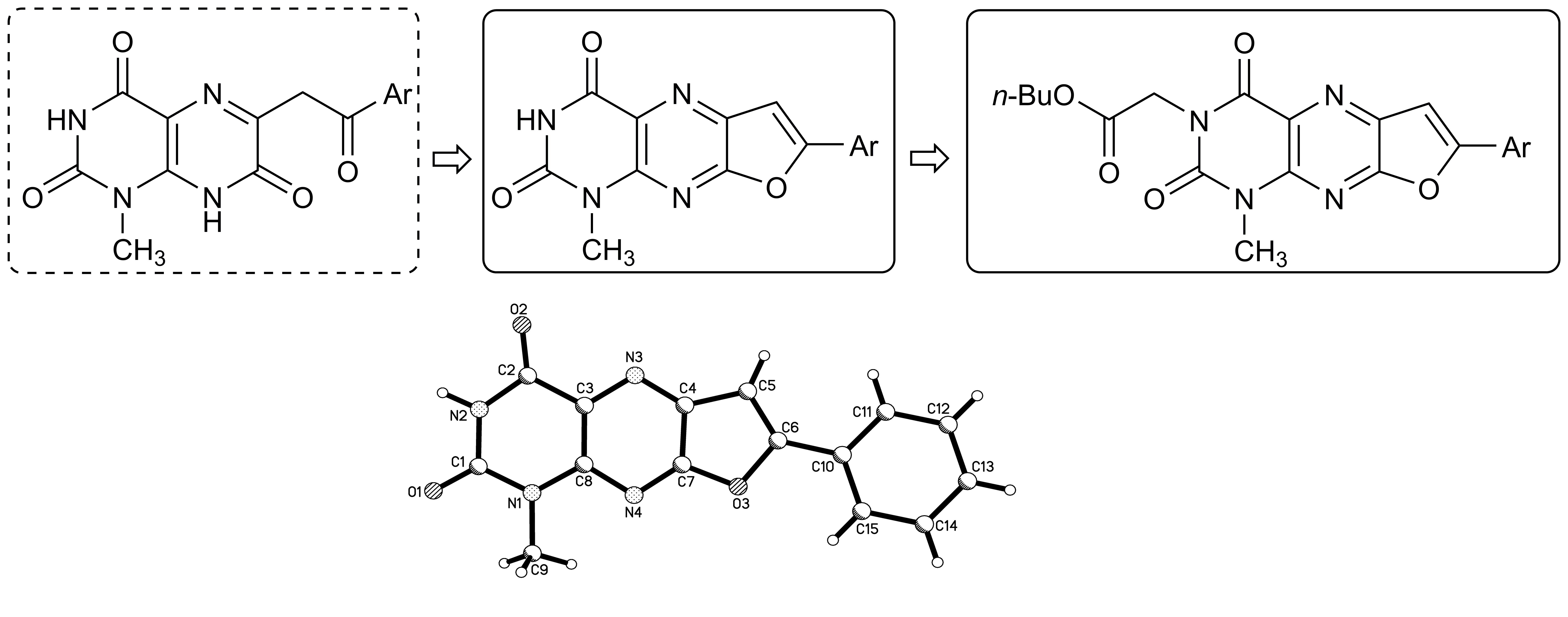
A simple and effective method for the synthesis of unknown 1-methyl-7-arylfuro[3,2-g]pteridine-2,4(1H,3H)-diones by dehydration of the corresponding 1-methyl-6-phenacyl-pteridine-2,4,7(1H,3H,8H)-triones is reported in the article. It was shown that their alkylation by butyl chloroacetate in basic medium proceeded by the N3-atom of the heterocycle. The structure and purity of the synthesized compounds were confirmed by IR, 1H, 13C NMR spectroscopy, gas chromatography-mass spectrometry, mass spectrometry, as well as X-ray diffraction analysis. The proposed mechanism of the dehydration reaction was discussed.

Author Biographies

Maxim Stanislavovich Kazunin, Zaporozhye State Medical University

Department of Organic and Bioorganic Chemistry

Oleksii Yurievich Voskoboynik, Zaporozhye State Medical University

Department of Organic and Bioorganic Chemistry

Oleksii Mykolayovych Antypenko, PhD

Department of Organic and Bioorganic Chemistry

Sergey Ivanovich Kovalenko, Zaporozhye State Medical University

Department of Organic and Bioorganic Chemistry

Downloads

Published

15.06.2020

Issue

Section

Organic chemistry