Spectrophotometric Studies of 4-[N’-(4-Imino-2-oxo-thiazolidin-5-ylidene)-hydrazino]-benzenesulfonic acid as a Reagent for the Determination of Palladium
DOI:
https://doi.org/10.17344/acsi.2014.866Keywords:
Palladium(II), 4-[N’-(4-imino-2-oxo-thiazolidin-5-ylidene)-hydrazino]-benzenesulfonic acid, spectrophotometry, azolidones, intermetallides, resistorAbstract
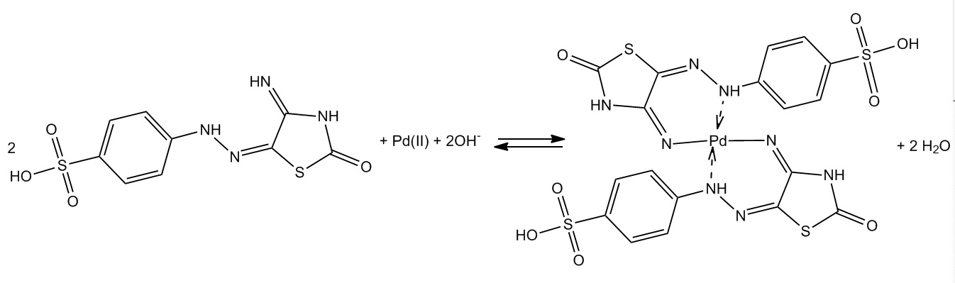
The spectrophotometric behavior of a new, first-time synthesized reagent – 4-[N’-(4-imino-2-oxo-thiazolidin-5-ylidene)hydrazino]-benzenesulfonic acid (ITHBA), has been investigated. A simple, rapid, accurate, selective and sensitive method for the spectrophotometric determination of Pd(II) ions using this reagent was developed. The optimal conditions for the formation of the complexes were found. The molar absorptivity at λ = 438 nm is 7.5 × 103 L mol-1 cm-1, and Beer’s law is observed for the concentrations ranging from 0.2–2.2 µg mL-1Pd(II). The effects of extraneous ions were investigated. The method proved to be successful in determination of palladium in the intermetallides and resistor. The accuracy of spectrophotometric palladium assay in real objects with 4-[N’-(4-imino-2-oxo-thiazolidin-5-ylidene)-hydrazino]-benzenesulfonic acid has been confirmed by voltammetric or atomic absorption spectroscopy method.
Downloads
Additional Files
Published
Issue
Section
License
Except where otherwise noted, articles in this journal are published under the Creative Commons Attribution 4.0 International License