Synthesis, Characterization and Antimicrobial Evaluation of Novel 6'- Amino-spiro[indeno[1,2-b]quinoxaline[1,3]dithiine]-5'-carbonitrile Derivatives

Authors

  • Mohammadreza Moghaddam-Manesh
  • Dadkhoda Ghazanfari
  • Enayatollah Sheikhhosseini
  • Mohammadreza Akhgar

DOI:

https://doi.org/10.17344/acsi.2019.5437

Keywords:

Multicomponent reaction, sulfur-containing heterocyclic, spiro[indeno[1, 2-b]quinoxaline[1, 3]dithiine]-5'-carbonitrile, Carbon disulfide, Antimicrobial activity

Abstract

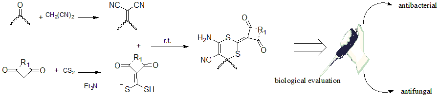
l,3-Dithiin with two sulfurs in its structure is a six-membered, sulfur-containing heterocyclic compound. New derivatives of 6'-amino-2'-(arylidene)spiro[indeno[1,2-b]quinoxaline[1,3]dithiine]-5'-carbonitrile were prepared by the multi-component reaction of active methylene compounds, carbon disulfide, malononitrile and multi-ring compounds containing a carbonyl group in the presence of piperidine as a catalyst at room temperature with high efficiency. The antimicrobial effects including antibacterial and antifungal effects based on inhibition zone diameter (IZD), minimum inhibitory concentration (MIC), minimum bactericidal concentration (MBC) and minimum fungicidal concentration (MFC) were studied.

Author Biography

Dadkhoda Ghazanfari

Department of Chemistr

Downloads

Published

20.03.2020

Issue

Section

Organic chemistry