First Estimation of Reference Intervals for Thyroid-Stimulating Hormone and Thyroid Hormones in Slovenian Population

Authors

  • Adrijana Oblak Department of Nuclear Medicine, University Medical Centre Ljubljana, Slovenia
  • Ajda Biček Department of Nuclear Medicine, University Medical Centre Ljubljana, Slovenia
  • Edvard Pirnat Department of Nuclear Medicine, University Medical Centre Ljubljana, Slovenia
  • Katja Zaletel Department of Nuclear Medicine, University Medical Centre Ljubljana, Slovenia
  • Simona Gaberšček Department of Nuclear Medicine, University Medical Centre Ljubljana, Slovenia Faculty of Medicine, University of Ljubljana, Slovenia

DOI:

https://doi.org/10.17344/acsi.2020.5922

Keywords:

reference intervals, thyroid-stimulating hormone, thyroid hormones, immunoassays, interferences

Abstract

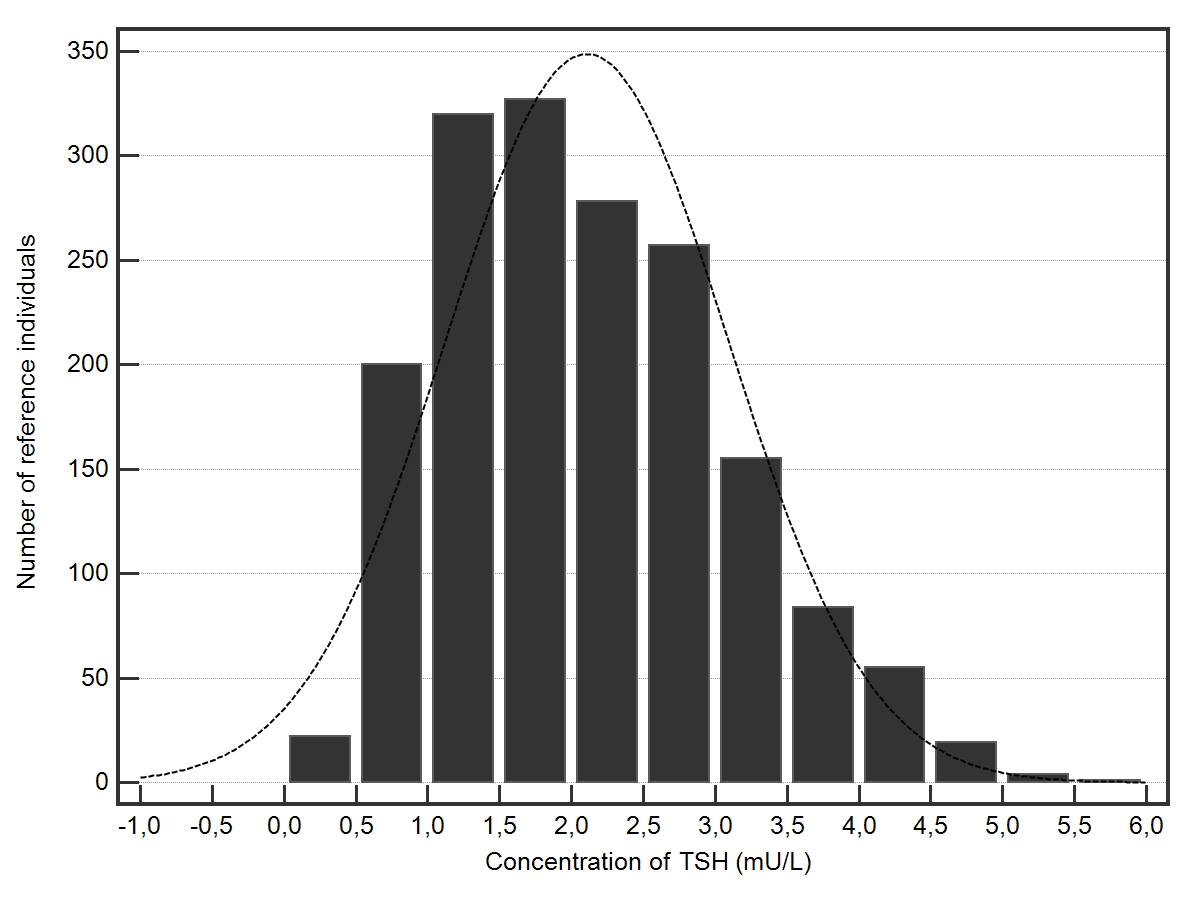
For thyroid function estimation and clinical decision making, use of appropriate reference intervals for thyroid-stimulating hormone (TSH), free thyroxine (fT4) and free triiodothyronine (fT3) is crucial. For each laboratory, establishment of own reference intervals is advised. For the first Slovenian estimation of reference intervals for thyroid hormones a large group of 1722 healthy individuals without thyroid disease was established retrospectively. Hormone analyses were performed on automated analyser Advia Centaur XP Immunoassay System (Siemens Healthineers), which reference intervals for TSH, fT4 and fT3 were 0.55-4.78 mIU/L, 11.5-22.7 pmol/L, and 3.5-6.5 pmol/L, respectively. Statistical analysis followed non-parametric percentile method. Our laboratory reference intervals for TSH, fT4 and fT3 are mostly narrower than intervals given by manufacturer. Median value, lower and upper limit for TSH, fT4 and fT3 were 1.98 (0.59-4.23) mIU/L, 14.5 (11.3-18.8) pmol/L and 4.82 (3.79-6.05) pmol/L, respectively. Most likely, an inclusion of a high number of healthy individuals without thyroid disease was a reason for such results.

Downloads

Published

16.06.2021

Issue

Section

Analytical chemistry