Desing, synthesis and anti-inflammatory activity of dirivatives 10-R-3-aryl-6,7-dihydro-2H-[1,2,4]triazino[2,3-c]quinazolin-2-ones of spiro-fused cyclic frameworks

Authors

DOI:

https://doi.org/10.17344/acsi.2017.3575

Keywords:

6, 7-dihydro-2H-[1, 2, 4]triazino[2, 3-c]quinazolin-2-ones, spiro-fused cycle, synthesis, molecular docking, anti-inflammatory activity

Abstract

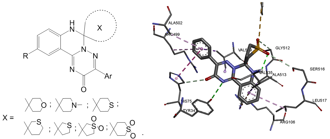
Present work is devoted to the purposeful search of novel promising anti-inflammatory agents among the insufficiently known 3'-R-10'-R1-spiro[hetaryl-3(4),6'-[1,2,4]triazino[2,3-c]quinazolin]-2'(7'H)-ones. The virtual combinatorial library of previously unknown spiro-condensed derivatives of [1,2,4]triazino[2,3-c]quinazolines was formed and promising COX-2 inhibitors were identified by molecular docking method. Potential anti-inflammatory agents were synthesized by [5+1]-cyclocondensation of substituted 3-(2-aminophenyl)-6-R-1,2,4-triazin-5(2H)-ones with heterocyclic ketones. The structures of synthsized compounds were verified by complex of physicochemical methods and spectral characteristics features were discussed. Obtained compounds were studied for anti-inflammatory activity using formalin induced paw edema model and highly active compounds were identified. Conducted SAR-analysis showed that combination of triazino[2,3-c]quinazoline moiety with spiro-condensed fragments is a reasonable approach for creating novel anti-inflammatory agents.

Author Biographies

Oleksandra Kolomoets, Zaporozhye State Medical University

Department of Organic and Bioorganic Chemistry

Oleksii Voskoboynik, Zaporozhye State Medical University

Department of Organic and Bioorganic Chemistry

Oleksii Antypenko, Zaporozhye State Medical University

Department of Organic and Bioorganic Chemistry

Galyna Berest, Zaporozhye State Medical University

Department of Pharmacognosy, Pharmaceutical Chemistry and Drug Technology Faculty of Postgraduate Education

Inna Nosulenko, Zaporozhye State Medical University

Department of Pharmacognosy, Pharmacology and Botany

Vitaliy Palchikov, Dnipropetrovsk National University

Department of organic and bioorganic chemistry

Sergiy Kovalenko, Zaporozhye State Medical University

Department of organic and bioorganic chemistry

Downloads

Published

12.12.2017

Issue

Section

Organic chemistry